Notes on Markov Random Field
Notes on Markov Random Field
Definition and parameterization
- Markov random field is an undirectional probablistic graph model
 - Consider random variables \(X=(X_1,X_2,...,X_n)\)
 - These random variables have conditional dependency defined by a graph \(G\)
 - The graph \(G\) have \(m\) cliques (fully connected subgraphs), denoted as \(D_1,...,D_m\)
 - Then distribution of the random variable can be expressed as product of clique potentials:
 
- \(\phi_{i}(D_i)\) is potential of clique \(D_i\)
 - \(Z\) is called partition function
 
- 
    
Calculation of \(Z\) is generally computationally intractable
 - 
    
It can also expressed as an log-linear model
 
- \(w_{i}\) are weights
 - \(f_{i}(D_{i})\) is the feature of complete subgraph \(D_{i}\)
 - \(Z\) is the normalization constant, or partition function
 
Image denoising
Image segmentation
Ising / Potts model and protein / RNA contact prediction
Ising model
- Random variable \(X_i\) takes value of either 1 or -1
 - The energy of edge (i,j) is
 
- The energy of variable \(X_i\) is
 
- The distribution takes the form
 
Potts model and protein / RNA structure modeling
- A protein sequence in multiple sequence alignment: \((\sigma_1,\sigma_2,\sigma_3,...,\sigma_N)\)
 - 
    
\(\sigma_1\) takes value from the protein/RNA alphabet and gap “-“
 - mfDCA (mean field direct coupling analysis)
 - plmDCA (pseudolikelihood maximization direct coupling analysis)
 
Restricted bolzmann machine
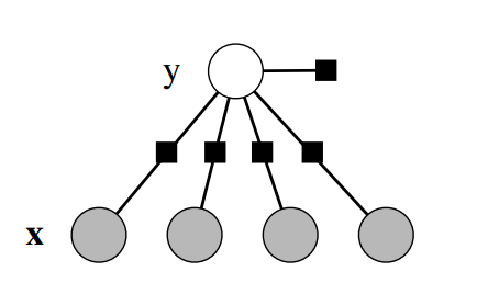
Conditional random field
- Direct modeling the conditional distribution \(P(y\|X)\), that is given observations of a subset of variables \(X\), modeling the distribution remaining variables \(Y\) conditioned on \(X\)
 - Combining the advantages of discriminative classification and graphical modeling
 - Combining the ability to compactly model multivariate outputs y with the ability to leverage a large number of input features x for prediction
 
- 
    
Note \(X\) is not involved in calculation of partition function
 - 
    
Logistic regression is a special case of conditional random field
 

- It takes a form same as log-linear model of markov random field